Manşetler
Günün Haberleri
Arşiv
Sitene Ekle
Serhad Haber
  • Gündem
  • Künye
  • Siyaset
  • Dünya
  • Ekonomi
  • Bursa 20 °C
24
18:23 Mersin 2 Aralık Salı Elektrik Kesintisi: 8 İlçede Güncel Planlı Bakım Duyurusu (Tüm Liste)
17:54 Fenerbahçe - Galatasaray 1-1 Berabere | Liderlik Değişmedi
16:13 Euro NCAP Çarpışma Testleri 2026'da Köklü Değişikliklerle Yenileniyor: Batarya Yangın Uyarısı Zorunluluğu Geliyor!
13:50 Afrika'nın Sesi Küresel Sahneye Taşınıyor: Nijer Devlet Televizyonu Telesahel, Türksat 4A Uydusu Üzerinde Yayına Başladı
19:22 Türkiye'nin Gururu Yusufeli HES, 3 Yılda Rekor Kırdı: 3,5 Milyon MWh Enerji!
19:18 Yozgat Havalimanı’nda Kritik Eşik Aşıldı: Uluslararası Uçuşlar İçin Geri Sayım Başladı
19:03 Türkiye'nin Savunma Sanayisinde Dev Adım: Ramjet Motoru Sinop'ta Başarıyla Ateşlendi
17:37 Tedesco'dan Odak Noktası Açıklaması: "Galatasaray'ı Konuşmuyorum, Aklım Ferençvaroş'ta!"
17:23 7 Gollü Nefes Kesen Maçta Fenerbahçe'den Tarihi Geri Dönüş: Rize Deplasmanında 5-2 Zafer!
20:30 Grip Aşısı Hakkında Doğru Bilinen 7 Yanlış Ortaya Çıktı! Uzmandan Hayati Uyarılar
Günün tüm haberleri
  1. Anasayfa

  2. Foto Galeri

  3. Haberler

  4. 16 Ekim KPSS Ortaöğretim/Önlisans Sonuçları ÖSYM Sonuç Ekranında

16 Ekim KPSS Ortaöğretim/Önlisans Sonuçları ÖSYM Sonuç Ekranında

16 Ekim KPSS Ortaöğretim/Önlisans Sonuçları ÖSYM Sonuç Ekranında 1 14
T : Standart PuanXi : Adaya ait ham puan16-10/20/hamaritmetikorta-1476954236.jpg : Teste ait aritmetik ortalamaSx : Standart Sapma olarak gösterilmiştir.
16 Ekim KPSS Ortaöğretim/Önlisans Sonuçları ÖSYM Sonuç Ekranında 2 24
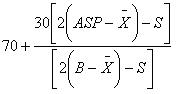
ASP : Adayın ağırlıklı standart puanı16-10/20/hamaritmetikorta.jpg : Ağırlıklı standart puan dağılımına ilişkin aritmetik ortalamaS : Ağırlıklı standart puan dağılımına ilişkin standart sapmaB : ASP dağılımında en yüksek ASP
16 Ekim KPSS Ortaöğretim/Önlisans Sonuçları ÖSYM Sonuç Ekranında 3 34
ÖSYM sınav takvimi
16 Ekim KPSS Ortaöğretim/Önlisans Sonuçları ÖSYM Sonuç Ekranında 4 44
KPSS sonuç ekranı
Serhad Haber © 2015
Anasayfa
Künye
İletişim
Gizlilik İlkeleri
Sitene Ekle
Haber Portalı Yazılımı
Serhad Haber
Haberler
  • Son Haberler
  • Manşetler
  • Gündem
  • Siyaset
  • Dünya
  • Ekonomi
  • Sağlık
  • Eğitim
  • Kültür Sanat
  • Medya
  • Spor
  • Otomobil
  • Teknoloji
  • Yerel
  • Yaşam
  • Magazin
Diğer İçerikler
  • Foto Galeri
  • Web Tv
  • Yazarlar
  • Gazete Manşetleri
Kurumsal
  • Künye
  • İletişim
  • Gizlilik İlkeleri
  • Kullanım Şartları
  • Geliştiriciler İçin
www.serhadhaber.com